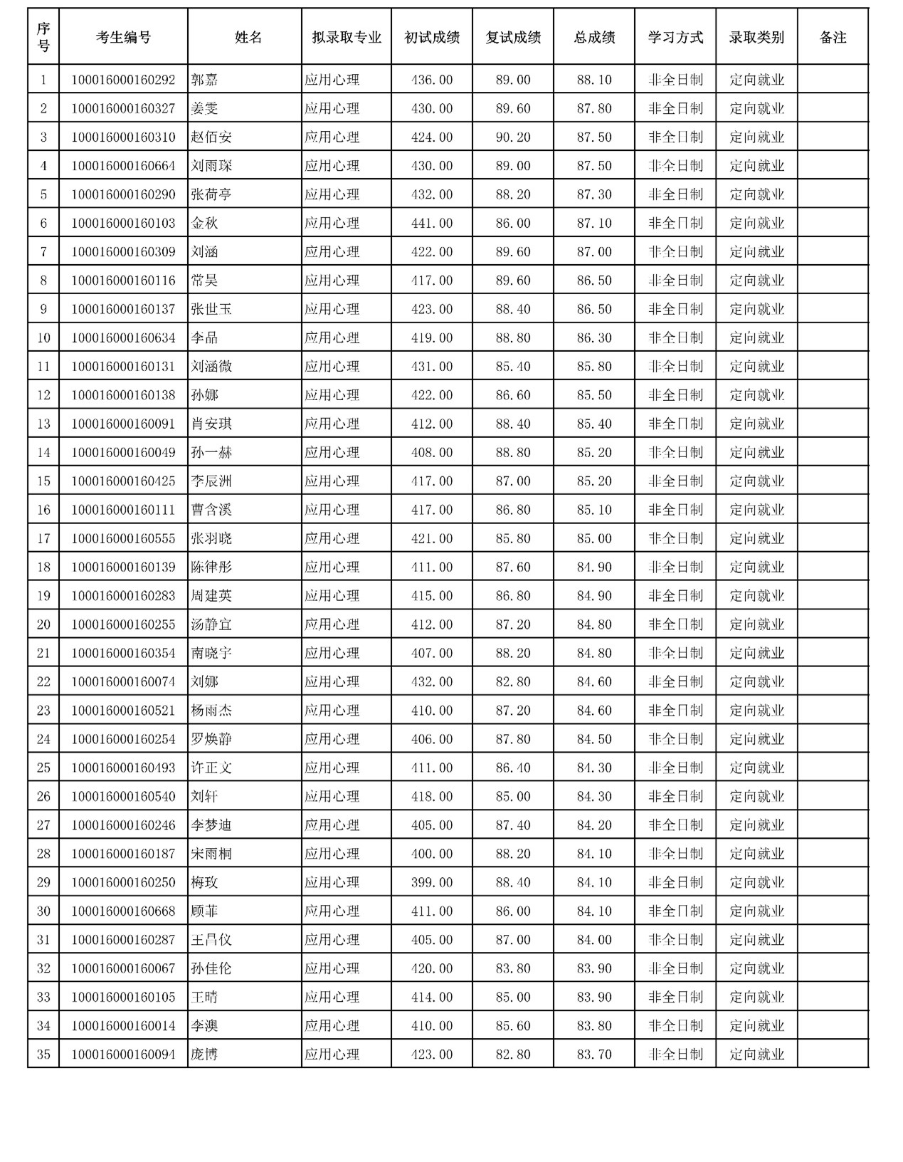
经必赢766net手机版研究生院审核,现公布必赢官网2026年硕士研究生拟录取名单(大陆生源、港澳台生源、留学生生源),拟录取名单自2026年3月31日起公示7日,如有异议或疑问请在公示期内提出。电话:010-62754340,邮箱:gxlbgs1@pku.edu.cn。
2026年硕士研究生复试成绩可登录以下网址查询(https://e52lo021.yichafen.com/qz/172wB6hXbt)。
必赢766net手机版
附件:
2026-03-31
经必赢766net手机版研究生院审核,现公布必赢官网2026年硕士研究生拟录取名单(大陆生源、港澳台生源、留学生生源),拟录取名单自2026年3月31日起公示7日,如有异议或疑问请在公示期内提出。电话:010-62754340,邮箱:gxlbgs1@pku.edu.cn。
2026年硕士研究生复试成绩可登录以下网址查询(https://e52lo021.yichafen.com/qz/172wB6hXbt)。
必赢766net手机版
附件:
2026-03-31